| Música Discursiva abierta
| 1.- Prosa
| ||
Música discursiva | - temática
| Prosa dividida en párrafos, capítulos, etc. | -con título
- de libre asociación |
Música estrófica
|
- canciones
| Versos divididos en estrofas |
- canciones |
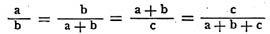
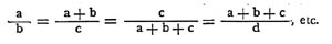
| Música discursiva y estrófica tienen una estructura común de frase | Literatura en prosa y verso tienen una estructura de frase común. | ||
|
| ||
| Antecedente | Consecuente | sujeto | predicado |
| Motivo,sMotivo,s | Motivo,sMotivo,s | Palabra,sPalabra,s | Palabra,sPalabra,s |
Motivo | Palabra | ||
| inciso1 | inciso2 | silaba,s1 | silaba,s2 |
La base de esta clasificación está en el origen común de las artes en el "Arte Global" y en la calidad de "artes del tiempo" de la música y la literatura.
Considerando que la gramática es una lógica aplicada, podemos hacer nuestro estudio. Veremos el juicio dentro de la frase. El concepto unitario en el motivo, los conceptos formales (suprasumativos) de los "conceptos - sujetos" o "conceptos - antecedentes" y de los "conceptos - predicado" o "concepto - consecuente".
De esta manera, teniendo en cuenta que el ritmo es el único elemento de la música que tiene sentido por sí mismo, pasaremos al estudio de su lógica, condicionamiento psicofisiológico y a su estructura objetiva. Será imprescindible explicar por qué hemos llegado a la expresión logística como la más adecuada para nuestro problema, y de por qué la lógica aplicada a la literatura no nos pudo resolver el problema.
l. ¿Qué llega a constituir pensamiento (conceptos) de un grupo de estímulos sin convenciones?
2. ¿Cuál sería la contradicción?
3. ¿Cuál es la negación?
4. ¿Cuáles son los límites de los individuos y los conjuntos?
l. Siendo un concepto una abstracción, elemento último del pensamiento, es la consecuencia generalizada de las relaciones percibidas de un objeto (esencias). Para el caso de la música, es idéntico con las cualidades (perceptibles) de un grupo sonoro.
2. Aunque esta materia incita a vuelos improvisados, lo más claro resulta la reducción de la contradicción a la exclusión y a la síntesis.
3. La negación es tributario de la exclusión y se produce en los casos de síntesis.
Sobre los números 2 y 3 veamos.
La lógica corriente acepta juicios analíticos y sintéticos, pero algunos lógicos los reducen al analítico. Este se presenta cuando el concepto-predicado (o consecuente) alude a cualidades esenciales del concepto-sujeto, caso en el que uno está contenido en el otro. La situación contraria de elementos que se excluyen, determina casos de heterogeneidad en los que unos conceptos niegan a otros. Por eso es que Maimon plantea junto con Kant la existencia del juicio analítico como el solo lógico. De ahí, los símbolos sobre el "juicio verdadero" de Maimon.
| sea x | cualquier cosa | En la logística, la multiplicación lo es de clases, luego el resultado es lo que éstas tienen de común. |
| sea a | la verdad |
| sea b | una clase |
| sea + | signo de afirmación según esto la expresión |
abx + a quiere decir toda la verdad de b es válida por a, y si c fuese válido por b, podría desarrollarse el siguiente pensamiento: abcx + abx + a , lo cual expresa que todo abcx es válido por abx y que éste es válido por a , luego abcx + a , o sea, todo abc es válido también por a. Esto da al juicio verdadero un carácter analítico incontrovertible.
La aplicación a la música es evidente; los elementos que se excluyen (distintos) no forman juicio; los que se parecen, sí.
Gergonne nos presta también una señalada ayuda en lo que respecta a las relaciones entre un sujeto y un predicado.

Aquí se contienen prácticamente todos los casos de combinación de antecedentes y consecuentes simples en música. Está claro que, además, esto es aplicable a la danza y a la pintura y en general a cualquier medio expresivo o lenguaje.
Ya a esta altura de la exposición se nota la posibilidad de estructurar una gramática general de la música como una base lógica. Esto hace posible un método a la musicología y le da el "rango" de ciencia. Pero el problema efectivo de la contracción en función de la exclusión, todavía no ha sido demostrado en estas líneas y puede haber dudas; concretémoslas; ¿qué equivale a las partículas ni y no en música? Disipemos la duda:
Tesis: las partículas ni y no, no son necesarias a la negación.
Demostración: Boole, el genial impulsor de la lógica de clases, nos ofrece lo siguiente:
Hipótesis:si O = lo uno, e y = una clase cualquiera,
para que satisfaga la relación Oy = O es necesario que y contenga a O y que y no pueda clasificar a O. Esto es extraño porque y, siendo una clase cualquiera, es todas las clases o el universo de las clases, o lo que es lo mismo, el universo de la lógica. ¿Cómo es posible entonces que no pueda clasificar a O? Porque O = cero (clase nula), tenemos que
Si 1 = lo otro, e
, o sea, que y contiene a O, pero no lo puede clasificar:
y = una clase cualquiera
para que 1y = y es necesario que 1 contenga a y en todos los casos.
contenida en él siempre tiene que clasificar:
; por lo tanto, 1 es el universo, por eso es que la lógica Sea x = la clase de los mamíferos, e
y = la clase de los animales acuáticos;
por lo tanto:
xy = los mamíferos acuáticos.En cambio:
x + y es la suma de las extensiones de las clases sin aludir a lo que tienen de común.
De aquí, que si
x = la clase de los hombres,
1-x es la clase de los no hombres, puesto que consisiste en
restar al universo la clase de los hombres, lo que queda es todo lo qué no son los hombres.Por lo tanto:
x (1 - x) = O , es decir , la clase de los hombres y la de los no hombres no tienen nada en común. Esto prueba que no es necesario partículas del género no o ni para negar; basta con excluir; tampoco se piensa en la ingenuidad de que para negar sea necesario que en el predicado se contenga todo el resto del universo, menos el sujeto; basta que una porción cualquiera de él para que x (1 - x) = O. Puede tratarse de cualquier parte de 1.
C. Q. V. D.
De esto podemos desprender que la negación se refiere a elementos heterogéneos (o que se excluyen) y que la afirmación se refiere a los homogéneos (que se incluyen) . Lo primero es síntesis y lo segundo, análisis.
Las conclusiones que se desprenden de lo aludido más arriba crean, de una vez por todas, la posibilidad de analizar realmente la música, esto es de analizar "el pensamiento musical".
Aclarado nuestro punto de vista sobre la lógica y la logística, podemos continuar sobre el ritmo, aunque queda pendiente la cuarta pregunta sobre los límites de los individuos y los conjuntos. Es probable que al tratar lo particular de la frase Musical a su nivel rítmico, se aclare el límite de lo individual y lo colectivo o de conjunto en los conceptos que intervienen en el juicio musical.
La academia no ofrece clasificación lógica de la frase rítmica. Sólo están clasificados sus finales o terminaciones (Riemann, Lussy): a) termínación masculina a acentuada, y b) femenina o débil; por ejemplo:
| a) | ![]() | ,y | b) | ![]() |
sin explicar las circunstancias que los determine. Se conocen, además, ritmos (modos) variables,
, etc., y ritmos no retrogradables
por ser idénticos a su retroceso. El conjunto de estos conceptos y principios requiere una discusión por partes:
A. Lógica;
B. Psicológica;
C. Objetiva.
A. Las clasificaciones en uso no se refieren al pensamiento en una frase desde el punto de vista rítmico, y si lo hacen a partir de la monodia y la melodía, no la clasifican según su homogeneidad o heterogeneidad, no clasifican su sentido analítico-sintético. La mayor parte de los casos aplican una nomenclatura muy similar a la expuesta en párrafos anteriores, sin llegar nunca al pensamiento musical.
Pasemos a poner en ritmo los casos de Gergonne:
![]() | y es lo que no es x; luego, xy = O, |
De paso podemos sacar algunas conclusiones:
l) La síntesis tiene como condición la negación y ésta, la exclusión;
2) Siendo el juicio lógico analítico, los conjuntos heterogéneos pasan a ser sujetos o antecedentes, puesto que necesitan una predicación analítica para alcanzar el nivel de juicios. De ahí que los mejores temas musicales son aquellos que presentan los elementos más diversos (que más se niegan o excluyen).
3) La exclusión permanente o conjunto de elementos distintos es una paradoja que consiste en que el grupo resultante es homogéneo, porque sus elementos tienen de común el excluirse. Aquí la exclusión continua o permanente hace posible predicaciones heterogéneas, que en su conjunto resultan analíticas.
Pasemos a la situación del ritmo en la psicología, con el ánimo de fundamentar su organización gramatical.
B. La importancia del ritmo fue detectada desde los antiguos y es por eso que su sentido ofrece descripciones o nombres que aluden a su conexión con la psicofisiología primitiva.
Desde el tiempo de los teóricos griegos el ritmo fue asociado al movimiento (que no es otra cosa que asociar el tiempo al movimiento); así vemos que un ritmo fundamental, el yambo, que alude a movimientos cuyos reflejos condicionados posibilitan su manejo ulterior como concepto. Llamaron ellos al tiempo débil (o breve) "arsis" (alzar) al fuerte (o largo) "tesis" (dar). Lo podemos representar de esta manera:

La evidencia psicofisiológica del sentido afirmativo de este ritmo es universal y se asocia al gesto de asentimiento y al sentido conclusivo. Indica lo que se equilibra y detiene al contacto del suelo, donde llega por obra de la gravedad. Una caída es conclusivo, termina en reposo; por lo tanto, una afirmación. La inversión

es "signo"' de duda, tensión, de función cinética. Requiere de un movimiento que equilibre la gestión.
Aquí nos encontramos con la palabra "signo"; ¿por qué no aceptamos que los ritmos enunciados tengan un sentido "evidente" de reposo y suspenso y les damos sólo el carácter de signos? Porque en la base de estos sentidos hay un significado derivado de una situación particular del hombre en un período histórico o de desarrollo cultural, en el que la "gravedad" ha determinado los efectos más obvios de la mecánica. En el espacio, no tiene por qué mantenerse el "arriba", "abajo" como suspenso, reposo. Los sentidos apuntados son, pues, convenciones inconscientes basadas en regularidades de la formación de reflejos. De esta manera, la investigación aludida respecto al significado del yambo y el troqueo, es de carácter etimológico. Este estudio se puede reducir a las convenciones explícitas (educación) y a las implícitas que son materias de reflejos de formación involuntarios. En el primer caso resuelve la lógica como en la literatura y en el segundo, la logística, luego de una etapa de investigación del sentido, por medio de la psicología. Los mejores métodos proceden del ingenio inagotable del más grande de los fisiólogos del cerebro, Pávlov. Este sabio demostró que la corteza cerebral es el órgano analítico de la psiquis, en doinde se originan las síntesis creadoras del pensamiento, el que está constituido, en su base, sólo de reflejos incondicionados y condicionados. Los estudios sobre los procesos de excitación e inhibición revelaron un mecanismo que reduce la respuesta de la célula nerviosa a un sí o nó; éstos concuerdan con los circuitos con la misma propiedad que han permitido, con la ayuda de la cibernética, construir el cerebro sintético. Todo esto, sumado a lo citado en el artículo "Condicionamiento psicofisiológico de la estética musical", de Raoul Husson, del primero de estos artículos, nos lleva a las siguientes conclusiones:
l. El estudio de los reflejos incondicionados y condicionados del estímulo acústico (en este caso del ritmo) son el único medio de desentrañar de la música su "significado".
2. Que el significado, unido a otras cualidades más abstractas, constituyen los fundamentos del juicio lógico musical.
3. Que la aplicación práctica de la lógica (gramática) no es posible, como se desprende de lo anterior, -sin ayuda de la sicología. Esta determina la precisión "afectiva" de la música.
Así podemos intentar una clasificación psicológica del significado del ritmo por separado de convenciones explícitas.
Los efectos más simples del ritmo son los de reposo y movimiento; a ellos podemos reducir los demás.
Podemos ceñirnos al siguiente sumario:
a) Ritmos simples afirmativos o de reposo (conclusivos)
b) Ritmos dubitativos o de movimiento (suspensivos); Ritmos compuestos afirmativos.
c) Periodicidad regular, y
d) Ritmos compuestos dubitativos. Periodicidad irregular.
a) El efecto de los ritmos terminados en ictus, acento, prolongació o dicho en general "en tesis" ("dar" o terminación masculina de Riemann) son afirmativos, de reposo o conclusivos. Cualquiera variedad que empieza con un "alzar" y termina con un "dar". De la clasificación inicial podemos separar:
yambo y
anapesto. A este grupo pertenecen los ritmos que terminan al cruzar la barra de compás;
b) Los ritmos terminados en tiempo débil, duración más breve que los anteriores o en general en "arsis" ("alzar" o terminación femenina de Riemann) son dubitativos, de suspenso o movimiento. Cualquier variedad que empieza con "dar" y termina con "alzar". Según esta propiedad, podemos separar de la clasificación aludida:

c) Al llegar a los compuestos afirmativos, podemos afirmar sus cualidades que difieren notablemente de los individuos afirmativos.
El caso más corriente es el de la rotación de un pie rítmico (modo). Cualquier caso de repetición de a, a, a, a, es un caso de afirmación tautológica; por eso, es que la afirmación de un ritmo dado se refuerza con la reiteración
por eso es que esta ordenación la podemos considerar "natural". El acompasamiento de un ritmo en grupos (ordinas) o de ritmos (taleas o series rítmicas), comporta un criterio general afirmativo desde el punto de vista lógico. Su efecto psicológico varía partiendo de lo estático hacia la excitación e inhibición, según la naturaleza del conjunto, si es sintético (variado) o analítico (homogéneo). La regularidad de terraza o estática, dentro de límites no dolorosos, produce inhibición. Desde el momento en que la repetición de un grupo es previsible en conjunto, y en detalle, su interés desaparece. Los grupos analíticos llegan antes a esto.
d) Si formamos una cadena con un ritmo suspensivo
extensio vemos cómo en este caso, que su carácter se pierde para transformarse luego en afirmativo, como se demuestra por la regla de "extensio modi" (extensión del modo), que vemos al final del mismo. Otro tanto ocurre al dáctilo, al tribráqueo y al espóndeo, que en rotación continua adquieren un sentido afirmativo. Esto demuestra dos cosas: l) que se concibe como natural la terminación en dar, y que 2) la afirmación de una rotación está por encima de la dubitación de sus integrantes. De esto se puede deducir una manera científica de analizar y concebir los pies métricos. Sólo los elementos extramusicales (letra, danza, etc.) pueden hacer variar, no
lo afirmado, sino que el resultado total.
![]() | como se ve en este ejemplo, es contradictorio con su |
Lo primero que procede es definir para este caso la "contradicción psicológica". Esta es la contradicción de una regla. Su resultado es el suspenso, la duda.
Primera regla: Amayor duración - mayor fuerza.
Esta relación tiende a esta expresión:

d para duración y F para fuerza. Podríamos también decir que los acentos son directamente proporcionales a las duraciones. Añadiendo a esto, la ley de Wegner-Fechner, sobre la respuesta aritmética de las sensaciones al crecimiento logarítmico de los estímulos, nos podremos hacer una idea más exacta del sentido y límite de esta regla.
![]() |
| de ahí la irregularidad o contradicción de |
![]() | en el plano |
De irregularidades como la apuntada pueden resultar inversiones del sentido natural.
Sea
un caso regular; sea
su contradicción por retrogradación de su elemento acentuar (fuerza o dinámica).
En el caso regular, el ritmo R es:
(¡) = afirmativo,
(?) = dubitativo,
Nota: Para que exista afirmación, es preciso que acentos



Segunda regla: Los elementos conjuntos limitan con la afirmación, sea ésta de duración, acento o reiteración. Como la conclusión o reposo rítmico es consustancial al acento y a la mayor duración, los límites de los elementos lógicos-musicales, tanto considerados como unidades absolutas (motivos) como en cuanto a conjuntos, se reducen a los casos en que un elemento de esta clase se hace presente, teniendo en cuenta los silencios como prolongación. Esto es aplicación generalizada de la extensión-rítmica (extensio). Para esto es conveniente advertir que en la música, el ritmo se presenta en todos los niveles que son: rítmico puro; monódico y melódico; polifónico; armónico y colorístico, porque en todos ellos es posible la comparación de duraciones e intensidades en planos que se definen según su homogeneidad. Los tres primeros niveles o planos presentan una materia evidente al estudioso, especialmente el armónico que ya ha sido estudiado por Walter Piston, además de Domingo Santa Cruz, quien lo empleó desde el comienzo en sus estudios analíticos y en sus clases de composición.
Tercera regla : Los ritmos se asocian en conjuntos que tienden a la homogeneidad: al mecanizarse ésta, el conjunto en cuestión deja de pensar en la producción de pensamientos (inhibición) . Esto toca un punto que desarrollaré más adelante, "La cuestión de la regularidad". Por lo tanto, cualquiera regulación es suspensión de nuevos acontecimientos, y en cualquier momento puede tomarse como prolongación
de un estímulo (aunque sea compuesto), como por ejemplo
etc., y servir como conclusión del género de la regla segunda. Para determinar esto, es necesario fijar el elemento predominante, pues éste es el campo de la gestión. Como conclusión corolaria, podemos añadir que, en términos generales, la mecanización (al nivel de la percepción) es equivalente (una vez detectada) a la suspensión de los acontecimientos. Vale decir, es signo de agotamiento del grupo gramatical correspondiente. Otra conclusión más es que en ningún caso, los conjuntos son las sumas de sus integrantes.
Cuarta regla : Los conjuntos se asocian entre sí, formando grupos de tendencias a la homogeneidad y de las proporciones que resultan de la comparación de sus cualidades, se obtiene la forma. En el orden sucesivo, se puede comprobar, además de la cohesión interna de elementos y conjuntos, un estado de predicación constante. Se tiende en general a relaciones de este tipo:
![]() | o |
![]() | o |
![]() | (serie armónica a base de la proporción áurea). |
Un elemento es predicado por otro y su conjunto es sujeto de una nueva predicación, hasta el final de la obra, cargando la materia musical de una fuerza creciente de evocación, haciendo su contenido cada vez más tautológico consigo mismo, hasta llegar al completo análisis o definición del material. Cuando esto acontece, la obra se ha terminado (o debiera).
Hay una lógica aplicada, de pasaje y otra más general, de conjunto. Esta última determina la función de la primera, que le es servil.
La regularidad en la academia analítico-composicional del presente; es más bien una teorética que abarca sistemas de causalidad del tipo "la situación (a) produce una resolución (b) ", etc., que no es más que una codificación de costumbres que afectan principalmente a la textura, pero que apenas si tienen contacto real con las grandes proporciones, a las que integran de una manera simplista o arbitraria. Lo principal es que no se atiende la Regularidad como conjunto de reglas de la obra sin intentar reducirlas a las estilísticas. Si ampliamos nuestro criterio, podemos intentar la siguiente agrupación de regularidades:
R | -académicas (tradicionales) |
| -contemporáneas |
| -del autor |
| -de la obra |
La regularidad así descrita, abarca el total de la obra como "caso, gramatical", pero lo más importante es la fijación de las regularidades, que constituyen campo específico de una personalidad y que sirven de fondo y de vehículo a su pensamiento musical.
Descartemos de este estudio las irregularidades de "pasajes" ya evolucionadas hasta el plano de la gramática general, y atendamos sólo a la que se refiere a la "periodicidad de los elementos", tanto en sus unidades absolutas (motivos) como en sus conjuntos. En este tipo de regularidad predominante rítmica, podemos distinguir dos grupos y tres casos generales:
a) Grupo de las regularidades estáticas o de período constante, y b) grupo de los períodos regularmente variables: l) de período creciente (disminución de la frecuencia de estímulo por unidad de tiempo), y 2) de período decreciente (aumento de los acontecimientos por unidad de tiempo).
Regularidad | -Período decreciente, más acontecimientos | Efecto creciente (presión exterior) |
| -Igual N° de acontecimientos | Efecto decreciente (hábito que aleja el umbral de sensación, etc.) |
| -Menos acontecimientos; período creciente | Efecto creciente (suspenso que oliga a una mayor concentración) |
Pasado los límites plausibles, todo tiende a la inhibición:
![]() | porque se alcanzan, por una parte, los límites de resistencia a la saturación provocada por un estímulo |
Lo importante es el criterio que se desprende de las líneas superiores. Se trata de atender a un estudio de lo que se "destaca" "contra" las regularidades propias ajenas a una personalidad, para establecer las probabilidades que éstas tienen de constituir los puntales en torno de los cuales se edificará luego de atravesar los niveles psicológicos, motores y efectivos en la corteza cerebral, como pensamiento. Este será finalmente operado de acuerdo a las leyes de la lógica.
Reglas y excepciones son funciones recíprocas; una pone en evidencia a la otra.
Concluyo la sección psicológica de este artículo, excusándome por su desproporcionado longitud, pero hago ver, que al mismo tiempo, que de él se desprenderán los principios que abreviarán los otros artículos dedicados al resto de los elementos de la música.
Ahora podemos pasar al estudio de la situación de objetos sonoro-rítmico y del criterio con que se les enseña en la academia actual.
El ritmo, como objeto sonoro, ha sido estudiado de acuerdo a diversos sistemas de computación: l) computación de valores de duración; 2) de fuerza (acentos) , y 3) de acumulación o colección (períodos) . En ausencia de elementos aclaratorios extramusicales, campea la arbitrariedad en el análisis con estos sistemas; ella consiste principalmente en:
l) Predominio del criterio separativo:esto sería clasificado como una serie de dáctilos sin aludir para nada la posibilidad de oirlos como anapestos , ni mucho menos aludir a una cadena entre los aspectos separativos y continuativos;
ej.:
2) Computación reducida a los niveles lineal (monódico y melódico) y rítmico de pasaje; rara vez se penetra en el ritmo armónico o en el formal (de las texturas, dinámicas generales, funciones generales, tempi, etc.). Hasta la determinación más o menos arbitraria de los modos y períodos, llega el análisis rítmico, en la academia actual. Se trata de la aplicación mecánica de una nomenclatura, más que de la aplicación de un criterio;
3) La falta de observación de un régimen computativo más completo (que puede detallarse más o menos según las circunstancias, puesto que el análisis es un medio, no una manía) lleva a menudo a conclusiones, sobre el "ritmo director" de una obra, de todo punto de vista, insuficientes y falsos;
4) La falacia que pretende reducir los casos psicofisiológicos y logicos de "climax", a la abundancia de ritmos o a su fuerza, como si no existiera el interés como factor y como si una observación más exacta de las verdaderas medidas de una obra no aclarara este sentido, y
5) La pretensión generalizada de que el objeto es idéntico al concepto que uno se forma de él.
Pero no todos son defectos; el actual sistema de computación ha dado también buenos frutos: El sistema vigente de escritura (que aunque incompleto saca del paso) y sus derivados gráficos y analíticos. Poco a poco se tiende a independizar el sistema de computación de lo "subentendido", lo "tradicional" y otros factores que lo hacen en cierta manera inexacto. Lo mejor es la computación eléctrica grabada en una "memoria magnética" (la cinta magnetofónica). Si alguien quiere reconstruir lo que pasa en una grabación debe medirlo todo.
El núcleo del defecto del actual sistema de computación en uso académico, es su prejuicio respecto de una semántica atrasada sujeta porfiadamente a un criterio yuxtapositivo.
Aquí me permito recordar el "oasis de sentido común" que fueron mis clases con Domingo Santa Cruz. A él, nunca le ocurrió cosa semejante.
Del título se desprende que trataré el análisis y la composición del ritmo, en esta sección. Para una mejor exposición, he dividido el estudio,en la siguiente forma:
a) La imaginación musical (desarrollo y fijación)
b) La imaginación rítmica;
c) El proceso de los afectos;
d) Papel de la lógica;
e) Semántica;
f) Gramática, y
g) Sintaxis.
a) La imaginación musical. Siempre ha sido tema inquietante, la imaginación creativa en general y en especial, la musical, por lo fugaz de su contenido y la dificultad de sujetarla a principios gramaticales válidos (lógicos) . Pero, si tratamos de ver los hechos simples que se encuentran en su base, podemos ver más claro. Pávlov encontró la base que servirá a nuestra argumentación; dice: "Los reflejos condicionados complican, afinan y precisan extraordinariamente las correlaciones entre el mundo exterior y el organismo. Nuestra vida está repleta de ellos. En ellos se basan nuestras costumbres, nuestra educación y toda suerte de disciplina. El acto de pensar, por lo tanto, se compone de "reflejos" incondicionados o innatos y condicionados o adquiridos. Se piensa entonces, con los mecanismos congénitos y con los experimentados. Recordemos que nada pasa por el intelecto que antes no haya pasado por la sensación y comencemos por estudiar las sensaciones, en lo musical, provenientes del exterior.
En este campo, lo más simple es una sensación. Esta tiene diversas probabilidades de acción:
| l) Mantenerse | |
2) Variar < | uniformemente |
| desuniformemente | |
| 2") Interrumpirse |
Así tenemos que la imaginación revierte este fenómeno tipificado por el análisis y sintetiza el pensamiento musical. Analicemos un caso fundamental monódico y veamos cómo la expresión artística se va reduciendo a elecciones.
Reduciendo [1] el proceso a altura y ritmo, el itinerario de la imaginación puede ser, para el caso de la asociación libre, el siguiente:
l) Elección del primer sonido del campo general de la experiencia, más las probabilidades de síntesis;
Es obvio que no se trata de "elección pura", porque cada decisión determina el campo de las siguientes de acuerdo a la lógica.
Ejemplo:
I. Campo de la altura del sonido.
Sea F1 = el primer sonido; el segundo puede presentarse según las siguientes probabilidades:
Esto reduce la imaginación a tres casos generales; el sonido, si no se mantiene, sube o baja. Es evidente que las intenciones, tendencias, intuiciones o planes de un compositor se reducen para este campo a los casos citados. La elección determina el caso siguiente:
II. Campo del ritmo
sea D1 = la primera duración
Conclusión : La apreciación musical puede reducirse al mecanismo elemental que determina la variabilidad o invariabilidad de las
sensaciones obtenidas por los estímulos. Esto para el caso del análisis elemental.
Ambas conclusiones se reducen a los dos únicos campos del pensamiento, el análisis y la síntesis.
Si queremos pasar de la asociación libre a la "composición" asociativa, veremos que los casos permanecen fundamentalmente los mismos.
Sea C1 un conjunto "compuesto".
Si un autor crea una estructura completamente determinada, no se elimina tampoco el aspecto electivo. Sea
x el campo elegible; sea
e la estructura elegida. Luego
Esto no impide que para todos los casos, la forma sea única y, por lo tanto, nueva. Una elección es una determinación formal; luego el acto de componer es idéntico con el de elegir. Es único. Tampoco se pretende que un espíritu sensible no pueda descubrir una estructura. En este caso ella no es expresión (no sale) de su personalidad, mientras no adquiera una relación orgánica con ésta y se desprenda de su conjunto con un valor idiomático. El construir estructuras puede ser resuelto por una máquina; el elegirlas con fines expresivos incumbe sólo al hombre.
Cerramos por ahora este rubro, recordando que el campo elegible respecto de la imaginación es idéntico con la experiencia de un individuo, que lo puede utilizar en la medida de su estabilidad (memoria) y definición (especificidad) .
b) La imaginación rítmica.
Esta imaginación es la fundamental de la música y sólo se atenúa como función expresiva en los casos que explicaré en el tercer artículo. Las decisiones que un compositor tiene que tomar dentro de este elemento corresponde a los ejemplos del capítulo anterior y son los siguientes:
l) Elección del primer estímulo acústico;
De paso podemos decir que un ritmo es una melodía con intervalación nula. Igual podemos definir la intervalación pura a partir de las melodías, cuando el ritmo es isócrono o isoacentual. En ambos casos, la reiteración mecánica elimina un elemento: 1° de la elaboración psíquica, y 2° de la operación lógica.
El análisis del itinerario de la imaginación rítmica al nivel melódico ya se ha visto en el capítulo anterior (II, l y b).
La imaginación rítmica suele aba rcar grandes extensiones y parece regular la mayor parte de las concepciones formales, las que estarían sujetas a su predominio. Esto aparece clarísimo al ir progresivamente comprobando la regularidad, en cuanto a frecuencia de acontecimientos en una obra cualquiera de media o mayor extensión. Por lo común, se va encontrando para la música estrófica, en sentido creciente de los miembros:
Conclusión: todos los elementos de la música, solos o en grupos, presentan frecuencias particulares de aparición, éstas son sus "ritmos de acción funcional". La rítmica de la acción funcional se puede seguir, tanto para un solo grupo, como para varios, determinándose en cada caso, ritmos de elementos o compuestos.
La imaginación no es un procedimiento unidimensional (lineal), de modo que no se sujeta a itinerarios fijos. Puede partir de los conjuntos (pensamiento analítico) o de los elementos (pensamiento sintético) . Sirva esto para recordar la relatividad de los "itinerarios" dados en este sentido.
El ritmo se puede imaginar en su conjunto, para luego definir sus detalles. Esto último es el caso de "composición musical".
El campo de acción refleja de los ritmos es el aparato locomotor (el cuerpo) . A través de él, se experimenta y educa el ritmo. Por eso, la imaginación rítmica está indisolublemente unida a su mecanismo. El elemento más fundamental de la música es, al mismo tiempo, el más material, el más y mejor referido.
Recapitulando podemos afirmar que el tratamiento composicional ritmo debe estudiarse y experimentarse en todos sus niveles, teniendo en cuenta su arraigo somático. De ahí la importancia de trabajar de el principio "variaciones", para poder establecer con facilidad otros ritmos que los muy elementales que se estudian en la actual academia. Es necesario hacer ver al alumno, tanto de análisis como de composición que, elementos y conjuntos determinan en sucesión, casos de duración e intensidad que son materia rítmica. Todo esto es lo que, puede llevar a un estudio serio de la "regularidad" de éste a una correcta aplicación de la lógica.
c) El proceso de los afectos.
El ritmo, tan arraigado en la carne, da un tono de fácil representación al contenido afectivo del pensamiento musical. Un grupo enorme de reflejos, que va desde las manifestaciones acompasadas del placer infantil hasta toda la complicada estructura de mecanismos del adulto, respaldan, con el lenguaje como centro, la naturaleza afectiva de la música.
Las funciones para y ortosimpáticas del nivel afectivo del cerebro, procesan electivamente el material que reciben, ya sea de las etapas exteriores "motora" y "sensorial" o de las interiores "intelectuales" o "volitivas". Sea como fuere, el cerebro medio "elige" lo que pasa por su campo. Si es aprobado, excita el parasimpático, procurando una mayor eficacia de la gestión, si no, el ortosimpático inhibe los impulsos del caso, bloqueando la etapa y, como es natural, descartando la parte afectiva de la personalidad. Esto es igual para la apreciación como para la creación musical. Toda conclusión que elimine la etapa afectivo es "defectiva"; no representa el conjunto funcional de un pensamiento (en el acto de pensar) , y toda lógica basada en sus productos falla por las "premisas".
El primer deber de un maestro ante un discípulo es el de desinhibirlo. Sin esta condición previa, no es posible ni analizar ni componer con el ritmo como verdadero recurso. La única asimilación (acto de hacer semejante) posible con el ritmo, es hacerlo consubstancial al sistema fónico, afectivo e intelectual, siendo éste el fin a perseguirse si se pretende llegar a una verdadera técnica -expresiva y analítica. Esto muestra también hasta qué punto es inseparable la enseñanza del análisis de la composición musical, porque el grupo de "vivencias" fundamentales es el mismo. Un análisis logra su propósito al "recrear" la obra; un compositor al reducirla a sus elementos en la notación de la misma. Lo esencial de esto es que el análisis es un ramo tan práctico como la composición, sólo que caminan en sentidos opuestos.
Pero, volviendo a nuestro problema afectivo, podemos concluir en que la subordinación del sujeto pensante a su función es inevitable, y que tanto la gramática como la sintaxis y la lógica dependen, para un caso dado, de su acción.
d) Papel de la lógica.
En la operación mental que se hace con el producto que evacúa la psiquis, a partir de elementos rítmicos, rigen las leyes de la lógica con sus tres principios básicos: a) de identidad; b) de contradicción, y c) del tercero excluido. Nada hay que añadir aquí sobre el particular de la lógica, pero hay que recordar que hay diferentes clases de ritmos:
El último punto, sin embargo, requiere una explicación. Se entiende por ritmo del pensamiento (o juicio), el que se determina por las duraciones gramaticales de sus enunciados, con sus cualidades adicionales. Los grupos homogéneos pueden ser considerados lógicos o analíticos y los heterogéneos, como sujetos a una predicación del tipo anterior.
e) Semántica.
La nomenclatura del ritmo no ofrece nada al campo lógico, por lo que es necesario modificarla para que se sepa que "parte de la oración" es un ritmo.
Sugiero agruparlos en afirmativos e interrogativos, según terminen en acento o en nota débil:
Además de esto se pueden clasificar los grupos en homogéneos y heterogéneos. A este último grupo pertenecen las dipodias que no son otra cosa que tautologías rítmicas.
f) Gramática.
Esta disciplina, que no es sino la lógica aplicada, tendría que establecer el orden natural de la frase rítmica. Este podría ser, por ejemplo, el que contemple el empleo de ritmos interrogativos en su sujeto y afirmativos en su predicado.
Ej.:
Los antecedentes tendrían ritmos femeninos y los consecuentes masculinos.
También se puede deteminar que los ritmos interrogativos pueden hacer de conjunciones o enlaces entre elementos y que los afirmativos sirven para separar los elementos. Esto último puede establecerse por las propiedades de acento y duración de las notas finales de los ritmos afirmativos o por sus sustitutos como silencios, prolongaciones, etc.
En este punto podemos esta blecer una de las contradicciones más importantes entre la lógica formal y la gramática musical. La frase musical horizontal es
1(1 - x) = subir (1 - subir) = O
g) Sintaxis.
Los puntos anteriores aclaran el presente estado que se puede organizar así:
Para el próximo artículo se dará comienzo al análisis comparativo del método académico en vigencia en relación con el nuevo que aquí se propicia, sobre obras de Bartók, Schumann y del Canto Gregoriano. Allí podrá continuarse el desarrollo de la técnica que Domingo Santa Cruz tan brillantemente derivara y sistematizara a partir de la filología comparada. Su gestión ha hecho posible la aplicación de la lógica al análisis musical. Con ello la musicología adquiere su disciplina epistemológica fundamental y su calidad de ciencia, superando sus etapas anteriores de "saber".
[1] Giselle Brelet lo expresa así en "Estética Musical", dice: "El arte es elección. Y le son menester formas simples y hasta convencionales si quiere sobrepasar el sensualismo y realizar esta "dialéctica del mundo sensible" que le permite dominarlo. Pues el sensualismo es el enemigo de la sensación, el que debilita, mientras que la forma multiplica sus poderes". Por el momento sólo utilizaremos de este párrafo, el aspecto que se refiere a la elección en el campo de la imaginación.
2) Elección de una duración, potencia e incidencias de éstas, y
Subelemento de duración:
Conclusión : La imaginación musical puede reducirse al mecanismo electivo elemental que determina la variabilidad o invariabilidad de un pensamiento, sea éste concebido como acto o como producto. Esto para el caso de la síntesis o composición al nivel elemental.
Este subelemento podemos reducirlo a los siguientes casos elementales:
D2 = la segunda
l. D1 = D2
2. D1 > D2
3. D1 < D2
Como se ve, estas probabilidades se homologan con las anteriores.
Subelemento de acentuación (potencia o dinámica).
Aquí también el acento A1 =
, < ó > A2
Su relación con otro conjunto C2 puede ser C1 = C2 o C1 ¹ C2
La elección es inevitable.
a cualidades de ésta.

El resultado es analítico, respecto de su experiencia; alude
2) Determinación de su fuerza, duración y variaciones de las mismas, y
3) Elección sucesiva de los factores del campo 2, practicadas sobre el estímulo l.
l) Ritmo del motivo;
Ambos ritmos se miden por las relaciones entre las extensiones de los contenidos.
2) Del miembro de frase;
3) Del período, de los conjuntos de períodos; o para la música abierta: lo mismo hasta el No 2, y de ahí:
4) Ritmo de las secciones, y
5) De los conjuntos de éstas.
En la música tonal es muy interesante medir el ritmo:
1 ) De las funciones;
En todos los casos, la frecuencia de los acontecimientos determina el ritmo. Esto establece las "densidades" de acontecimientos que también pueden ser analizados en relación a su frecuencia, determinando en este caso los "focos" de acontecimientos o "clímax"; de esto se destaca o debe destacarse uno, que predomine sobre los demás.
2) De las modulaciones;
3) De las formas cadenciales, y
4) De los planos tonales.
l) Ritmo puro (monofónico), y
En todos los campos anotados para el ritmo, hay juicios analíticos y sintéticos para sus conjuntos heterogéneos y homogéneos. Los primeros de éstos "deben" tener una predicación analítica y los segundos constituyen pensamientos completos, lógicos o analíticos.
2) Ritmos con elementos adicionales:
I. Melódico y monódico;
II. Polifónico;
III. Armónico;
IV. Colorístico;
V. Formal, y
VI. Lógico (o del pensamiento).

Puesto en palabras de Riemann, quedaría así:


observándose que el sentido afirmativo es de necesidad psicofisiológica; tensión-relajación; por más que el conjunto esté compuesto de elementos que, en cierta manera se excluyen. Veamos: "subir es lo que no es bajar", una cosa excluye la otra, pero el caso lógico general es "subir es lo que no es cualquier otro movimiento".

se puede hacer más cosas que bajar. Esto último es un caso particular de "oposición". En el fondo está "determinado" por el sujeto o antecedente, al oponerse. La determinación aludida es campo homogéneo, de ambos miembros de la frase, luego es también analítica y, por lo tanto, lógica. Por lo demás, no existe la posibilidad de la tautología absoluta, sólo se llega a ella a través de un tipo de convención. Ej.:
1.- 
no es una tautología, puesto que la distancia entre b y a' lo impide.
2.- 
tampoco lo es en este caso, porque la altura es distinta acá; en cambio, para
si parece posible, pero aquí es el tiempo el distinto. En suma, existen en la música y, por lo tanto, en su elemento basal el ritmo, convenciones gramaticales. Claro está que éstas no lo son en el sentido habitual y lexicográfico, sino que en el de que las pausas, prolongaciones, cambios de dirección, acentos, indican fin de elementos o conjuntos y, sobre todo, que las repeticiones determinan la extensión del asunto que se reitera, haciendo posible un criterio separativo entre el final de una y el comienzo de otra. Esto permite la formación de tautologías hasta el momento en que el factor de enlace las disocia.
3.- 
l) Orden regular de la frase rítmica:
Al igual que en la sintaxis literaria, aquí pueden existir conceptos expresos en forma regular o figurada (con figuras variantes, interpolaciones, etc.) . Además, las frases pueden alternarse, invertirse, retrogradarse, aumentarse y disminuirse o cualquier otra forma de modificación regular en función de un factor constante.
2) Orden regular del período:
antecedente 
consecuente 
